Main Products
- Phosphonates Antiscalants, Corrosion
Inhibitors and Chelating Agents - Salts of Phosphonates
-
- Tetra Sodium Salt of 1-Hydroxy Ethylidene-1,1-Diphosphonic Acid (HEDP?Na4)
- Tetra Sodium Salt of 1-Hydroxy Ethylidene-1,1-Diphosphonic Acid (HEDP?Na4)
- 2-Phosphonobutane -1,2,4-Tricarboxylic Acid, Sodium salt (PBTC?Na4)
- Penta sodium salt of Amino Trimethylene Phosphonic Acid (ATMP?Na5)
- Hepta sodium salt of Diethylene Triamine Penta (Methylene Phosphonic Acid) (DTPMP?Na7)
- Potassium Salt of HexaMethylene-DiamineTetra (MethylenePhosphonic Acid) HMDTMPA?K6
- More
- Polycarboxylic antiscalant and dispersant
- Biodegradable antiscalant and dispersant
- Biocide and Algicide
- Built Scale & Corrosion Inhibitors and Pretreatment Filming Agents
-
- TH-907 Non-P Scale&Corrosion Inhibitor
- TH-503 Scale and Corrosion Inhibitor for Boiler
- TH-503B Scale and Corrosion Inhibitor for Boiler
- TH-504 Scale and Corrosion Inhibitor for Heating Water
- TH-601 Scale and Corrosion Inhibitor for Iron & Steel Plant
- TH-604 Scale and Corrosion Inhibitor for Power Plant
- More
- Corrosion Inhibitor
- Oxygen Scavenger
- Reverse Osmosis Chemicals
- Other
Shandong Taihe Water Treatment Technologies Co., Ltd.
TEL: +86-632-5113066
FAX: +86-632-5112055
E-mail: [email protected]
ADD: No.1, Shiliquan East Road, Shizhong District, Zaozhuang City, Shandong Province, P.R.China
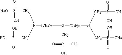
Sodium salt of Diethylene Triamine Penta (Methylene Phosphonic Acid) (DTPMP?Na2)
CAS No. 22042-96-2
Molecular formula: C9H26O15N3P5Na2
Structural Formula:
Properties and usage:
DTPMP?Na2 is a scale inhibitor, for barium sulphate in particular and a chelating agent. DTPMP?Na2 can be used as stabilizer for peroxide bleaching, detergent auxiliaries, in industrial & municipal cleaning water, terrestrial heat water, oilfield water, etc.
Specification:
Items | Index |
---|---|
Appearance | Umber transparent liquid |
Active content(DTPMPA)% | 45.0-49.0 |
Total phosphoric acid (PO43-)% | 37.0-40.0 |
Chloride (as Cl-) % | 5.0 max |
Fe, mg/L | 20.0 max |
PH (1% water solution) | 2.0-3.0 |
Density (20℃) g/cm3 | 1.37-1.47 |
Package and Storage:
200L plastic drum, IBC(1000L),customers' requirement. Storage for ten months in shady room and dry place.
Safety Protection:
Weak acid, avoid contact with eye and skin, once contacted, flush with water.