Main Products
- Phosphonates Antiscalants, Corrosion
Inhibitors and Chelating Agents - Salts of Phosphonates
-
- Tetra Sodium Salt of 1-Hydroxy Ethylidene-1,1-Diphosphonic Acid (HEDP?Na4)
- Tetra Sodium Salt of 1-Hydroxy Ethylidene-1,1-Diphosphonic Acid (HEDP?Na4)
- 2-Phosphonobutane -1,2,4-Tricarboxylic Acid, Sodium salt (PBTC?Na4)
- Penta sodium salt of Amino Trimethylene Phosphonic Acid (ATMP?Na5)
- Hepta sodium salt of Diethylene Triamine Penta (Methylene Phosphonic Acid) (DTPMP?Na7)
- Potassium Salt of HexaMethylene-DiamineTetra (MethylenePhosphonic Acid) HMDTMPA?K6
- More
- Polycarboxylic antiscalant and dispersant
- Biodegradable antiscalant and dispersant
- Biocide and Algicide
- Built Scale & Corrosion Inhibitors and Pretreatment Filming Agents
-
- TH-907 Non-P Scale&Corrosion Inhibitor
- TH-503 Scale and Corrosion Inhibitor for Boiler
- TH-503B Scale and Corrosion Inhibitor for Boiler
- TH-504 Scale and Corrosion Inhibitor for Heating Water
- TH-601 Scale and Corrosion Inhibitor for Iron & Steel Plant
- TH-604 Scale and Corrosion Inhibitor for Power Plant
- More
- Corrosion Inhibitor
- Oxygen Scavenger
- Reverse Osmosis Chemicals
- Other
Shandong Taihe Water Treatment Technologies Co., Ltd.
TEL: +86-
FAX: +86-
E-mail:
ADD: No.1, Shiliquan East Road, Shizhong District, Zaozhuang City, Shandong Province, P.R.China
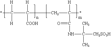
Acrylic Acid-2-Acrylamido-2-Methylpropane Sulfonic Acid Copolymer (AA/AMPS)
CAS No. 40623-75-4
Structural Formula:
Properties:
AA/AMPS is the copolymer of acrylic acid and 2-acrylanmido-2-methylpropanesulfonic acid. Due to including carboxylic group (scale inhibition and dispersion) and sulfonic acid group (strong polarity) in this copolymer, AA/AMPS has high calcium tolerance and good scale inhibition for calcium phosphate, calcium carbonate and zinc scale. When built with organophosphines, the synergic effect is obvious. AA/AMPS is suitable to be used in water quality of high pH and high alkaline, it is one of the ideal scale inhibitors and dispersants on high concentration index.
Specification:
Items | Index | |
---|---|---|
Appearance | Colorless to light yellow viscous liquid | Colorless to light yellow viscous liquid |
Solid content % | 30.0 min | 40.0 min |
Free monomer (as AA)% | 0.50 max | 0.50 max |
Density (20℃)g/cm3 | 1.05 min | 1.15 min |
pH(1% water solution) | 3.0 max | 3.5-4.5 |
Usage:
AA/AMPS can be used as scale inhibitor and dispersant in open circulating cool water system, oilfield refill water system, metallurgy system and iron & steel plants to prevent sediment of ferric oxide. When built with organophosphorines and zinc salt, the suitable pH value is 7.0~9.5.
AA/AMPS can also be used as dyeing auxiliaries for textile.
Package and Storage:
AA/AMPS liquid: 200L plastic drum,IBC(1000L),customers’ requirement.
AA/AMPS solid: 20kg/bag, customers‘ requirement. Storage for twelve months in shady room and dry place.
Synonyms:
AA-AMPS; AA-AMPSA; Acrylic Acid-2-Acrylamido-2-Methylpropane Sulfonic Acid Copolymer; Sulfonated Polyacrylic Acid Copolymer;