Main Products
- Phosphonates Antiscalants, Corrosion
Inhibitors and Chelating Agents - Salts of Phosphonates
-
- Tetra Sodium Salt of 1-Hydroxy Ethylidene-1,1-Diphosphonic Acid (HEDP?Na4)
- Tetra Sodium Salt of 1-Hydroxy Ethylidene-1,1-Diphosphonic Acid (HEDP?Na4)
- 2-Phosphonobutane -1,2,4-Tricarboxylic Acid, Sodium salt (PBTC?Na4)
- Penta sodium salt of Amino Trimethylene Phosphonic Acid (ATMP?Na5)
- Hepta sodium salt of Diethylene Triamine Penta (Methylene Phosphonic Acid) (DTPMP?Na7)
- Potassium Salt of HexaMethylene-DiamineTetra (MethylenePhosphonic Acid) HMDTMPA?K6
- More
- Polycarboxylic antiscalant and dispersant
- Biodegradable antiscalant and dispersant
- Biocide and Algicide
- Built Scale & Corrosion Inhibitors and Pretreatment Filming Agents
-
- TH-907 Non-P Scale&Corrosion Inhibitor
- TH-503 Scale and Corrosion Inhibitor for Boiler
- TH-503B Scale and Corrosion Inhibitor for Boiler
- TH-504 Scale and Corrosion Inhibitor for Heating Water
- TH-601 Scale and Corrosion Inhibitor for Iron & Steel Plant
- TH-604 Scale and Corrosion Inhibitor for Power Plant
- More
- Corrosion Inhibitor
- Oxygen Scavenger
- Reverse Osmosis Chemicals
- Other
Shandong Taihe Water Treatment Technologies Co., Ltd.
TEL: +86-
FAX: +86-
E-mail:
ADD: No.1, Shiliquan East Road, Shizhong District, Zaozhuang City, Shandong Province, P.R.China
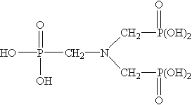
Amino Trimethylene Phosphonic Acid (ATMP)
CAS No. 6419-19-8
Molecular Formula: N(CH2PO3H2)3 Molecular weight: 299.05
Structural Formula:
Properties:
ATMP has excellent chelation, low threshold inhibition and lattice distortion ability. It can prevent scale formation, calcium carbonate in particular, in water system. ATMP has good chemical stability and is hard to be hydrolyzed in water system. At high concentration, it has good corrosion inhibition.
ATMP is used in industrial circulating cool water system and oilfield water pipeline in fields of thermal power plant and oil refinery plant. ATMP can decrease scale formation and inhibit corrosion of metal equipment and pipeline. ATMP can be used as chelating agent in woven and dyeing industries and as metal surface treatment agent.
The solid state of ATMP is crystal powder, soluble in water, easily deliquescence, suitable for usage in winter and freezing districts. Because of its high purity, it can be used in woven & dyeing industries and as metal surface treatment agent.
Specification:
Items | Index | |
---|---|---|
Standard | Solid | |
Appearance | Clear, Colorless to pale yellow aqueous solution | White crystal powder |
Active acid % | 50.0 min | 95.0 min |
Chloride (as Cl-)% | 1.0 max | 1.0 max |
pH (1% water solution) | 2.0 max | 2.0 max |
Fe, mg/L | 20.0 max | 20.0 max |
Density (20℃)g/cm3 | 1.30 min | - |
Usage:
ATMP is usually used together with organophosphoric acid, polycarboxylic acid and salt to built all organic alkaline water treatment agent. ATMP can be used in many different circulating cool water system. The dosage of 1-20mg/L is recommended. As corrosion inhibitor, the dosage of 20-60mg/L is preferred.
Package and Storage:
ATMP liquid:200L plastic drum,IBC(1000L),customers' requirement.
ATMP solid: 25kg/bag, customers' requirement.
Storage for ten months in shady room and dry place.
Safety Protection:
Acidity, Avoid contact with eye and skin, once contacted, flush with water.
Synonyms:
Amino Trimethylene Phosphonic Acid;
Amino Tri(Methylene Phosphonic Acid);
Tris(Methylene Phosphonic Acid) Amine;
Nitrilotrimethylphosphonic Acid(NTP);
Nitrilotrimethylenetris(Phosphonic Acid);
Нитрилотриметилфосфоновая кислота(НТФ -кислота)