Main Products
- Phosphonates Antiscalants, Corrosion
Inhibitors and Chelating Agents - Salts of Phosphonates
-
- Tetra Sodium Salt of 1-Hydroxy Ethylidene-1,1-Diphosphonic Acid (HEDP?Na4)
- Tetra Sodium Salt of 1-Hydroxy Ethylidene-1,1-Diphosphonic Acid (HEDP?Na4)
- 2-Phosphonobutane -1,2,4-Tricarboxylic Acid, Sodium salt (PBTC?Na4)
- Penta sodium salt of Amino Trimethylene Phosphonic Acid (ATMP?Na5)
- Hepta sodium salt of Diethylene Triamine Penta (Methylene Phosphonic Acid) (DTPMP?Na7)
- Potassium Salt of HexaMethylene-DiamineTetra (MethylenePhosphonic Acid) HMDTMPA?K6
- More
- Polycarboxylic antiscalant and dispersant
- Biodegradable antiscalant and dispersant
- Biocide and Algicide
- Built Scale & Corrosion Inhibitors and Pretreatment Filming Agents
-
- TH-907 Non-P Scale&Corrosion Inhibitor
- TH-503 Scale and Corrosion Inhibitor for Boiler
- TH-503B Scale and Corrosion Inhibitor for Boiler
- TH-504 Scale and Corrosion Inhibitor for Heating Water
- TH-601 Scale and Corrosion Inhibitor for Iron & Steel Plant
- TH-604 Scale and Corrosion Inhibitor for Power Plant
- More
- Corrosion Inhibitor
- Oxygen Scavenger
- Reverse Osmosis Chemicals
- Other
Shandong Taihe Water Treatment Technologies Co., Ltd.
TEL: +86-
FAX: +86-
E-mail:
ADD: No.1, Shiliquan East Road, Shizhong District, Zaozhuang City, Shandong Province, P.R.China
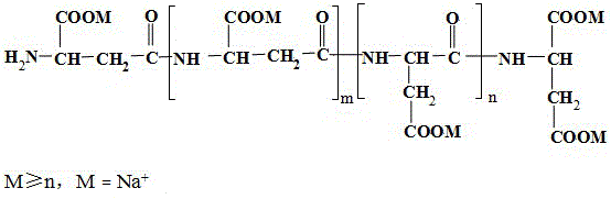
Sodium Salt of Polyaspartic Acid (PASP)
CAS No. 181828-06-8,35608-40-6 Molecular weight: 1000-5000
Molecular Formula: C4H5NO3M(C4H4NO3M)m(C4H4NO3M)nC4H4NO3M2
Structural Formula:
Properties:
PASP is a kind of biopolymer materials, of which molecules contains abundant amido bond, carboxyl and other active groups. Amido peptide bond has biological activity and high chemical stability, hard to decompose at high temperature; carboxyl group can be complex with many metal ions in water, which make PASP have high chemical activity in aqueous solution; in each structural unit of PASP, the oxygen and nitrogen atoms can easily form hydrogen bonds with water molecules, it has good hydrophilicity and water solubility. The special molecular structure of PASP ensures that it has good dispersing ability, corrosion inhibiting properties, excellent biodegradability and environmental friendly characteristics.
Specification:
Items | Index |
---|---|
Appearance | Yellow to umber liquid |
Solid content % | 40.0 min |
Density (20℃)g/cm3 | 1.20 min |
pH(1% water solution) | 9.0-11.0 |
Usage:
According to different molecular weights of PASP, it can be used in water treatment, agriculture and forestry, petroleum exploitation, detergents and other fields.
I. Water treatment
PASP has characteristic of polyanion surfactant, which can be chelated with magnesium, copper, iron, cobalt and other polyvalent metal ions after hydrolysis. It has excellent scale inhibition and dispersion properties. As scale and corrosion inhibitor, PASP is widely used in industrial circulating water, boiler water, reverse osmosis water, oil recycled water, desalination water treatment, especially for water treatment systems of high hardness, high alkalinity, high pH and high concentration.
PASP has good scale inhibition on CaCO3, CaSO4, BaSO4, Ca3(PO4)2 ,etc..
PASP is an alternative of phosphor-containing Water Treatment Chemicals and has better scale inhibition effects. PASP can avoid eutrophication and second pollution in water system.
II. Agriculture and Forestry
PASP can be used as fertilizer synergist in agriculture. Adding it into urea can improve fertilizer efficiency by 20-40% and reduce the fertilizer dosage;
Adding PASP in the production process for fertilizer can increase fertilizer granulation level, increase the number of standard particles to 97%, thereby enhancing the rate of finished products and reduce loss;
PASP can improve the nutrient absorption of grain, vegetable, melon and fruit, and flowers, promote root growth, increase crop yields, enhance plants and its stress resistance;
-
PASP can be used with phosphorodithioate and other pesticides to enhance pesticide effect, crop yields and improve crop quality;
-
PASP can form complex with heavy metals in the soil, displace heavy metals from the soil, in order to achieve the purpose of restoration of soil pollution.
III. Petroleum exploitation
PASP can form chelation with calcium, magnesium, copper, iron and other metal ions to attach to the metal surface of the container to prevent metal corrosion. It is an excellent corrosion inhibitor, especially for preventing oil pipeline corrosion caused by carbon dioxide;
PASP with molecular weight around 10000 can reduce fluid viscosity. In bentonite mud, when the dosage of PASP is 0.4%, the viscosity reduction rate can be over 70%;
It has good resistance to salt and calcium;
IV. Detergents
PASP has characteristics of anionic surfactant and good chelation, dispersion properties. It can soften water, dispersing, anti-fouling, and prevent re-contamination of the greasy dirty off the clothes during the washing process;
It can be adsorbed on the surface of dinnerware, prevent mouldy, resulting in better cleaning effect. It is an important component of dishwashing detergent for cleaning of hard surfaces;
V. Other Applications
Because of its good dispersion to inorganic and organic compouds, PASP has been applied with different degree in pharmaceuticals, pigments, paints, leather, inorganic chemicals, oilfield chemicals and other fields.PASPis called "third-generation polyurea", it can be used to produce protective coatings of high weather resistance, high resistance to chemical corrosion, fast-curing paint, and applied directly to fast curing coatings on the metal substrate and industrial flooring, etc., ; it can be used in the tanning process as tanning agents, produces biodegradable leather; pharmaceutical carrier material made from PASP has been widely used in family planning, anti-tumor drugs making etc.
Package and Storage:
200L plastic drum, IBC(1000L), customers' requirement. Storage for ten months in shady room and dry place.
Safety Protection:
Alkaline, Avoid contact with eye and skin, once contacted, flush with water.
Synonyms:
PASP;Sodium Salt of Polyaspartic Acid;Sodium PASP;polyaspartate;Sodium Salt of Polyaspartic Acid (PASP)
Sodium Salt of Polyaspartic Acid (PASP)